एशियाई मैराथन चैंपियनशिप में स्वर्ण पदक जीतने वाले दूसरे भारतीय कौन बने है?
ENIAC, the first general-purpose electronic computer, stands for: प्रथम सामान्य-प्रयोजनार्थ इलेक्ट्रॉनिक कंम्प्यूटर, ENIAC का पूर्ण रुप क्या हैं?
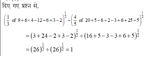
.
Select the number from among the given options that can replace the question mark (?) in the following series. 43, 57, 72, ?, 105, 123
Identify the segment in the sentence which contains the grammatical error. The travel agent is making the arrangements from my trips.
चंदेल शासन के दौरान उत्तर प्रदेश का निम्नलिखित में से कौन-सा क्षेत्र जेजाक-भुक्ति या जयहोटी के नाम से जाना जाता था?
400 और 600 के बीच की ऐसी संख्याओ का योग ज्ञात कीजिए, जिन्हे 6, 12 तथा 16 से विभाजित करने पर कोई शेष न बचें।
फूलकारी कला क्या है?
भारत में हरित क्रान्ति के लिए ‘ब्रेड बास्केट’ कहे जाने वाले राज्य हैं-
Explanations:
Download our app to know more Lorem ipsum dolor sit amet consectetur adipisicing elit. Excepturi, esse.
Unlocking possibilities: Login required for a world of personalized experiences.