The working conditions also include prevention of sexual harassment of working women and making arrangements in the organisation for it, this falls under ______.
One horned rhinoceros is found in the following states- एक सींग वाला गैंडा निम्नलिखित प्रदेशों में पाया जाता है–
The rock-cut cave monuments at Ajanta in Maharashtra belong to which religion?
.
Booting the computer system is a process which बूटिंग कम्प्यूटर सिस्टम की वह प्रक्रिया है, जिसमें–
Hawkins is Raman's sister's husband. Raman is Curie's brother, Einstein is Curie's father and Martha's husband. Martha has two children and two nephews. How is Martha related to Hawkins's wife?
Which of the following is the most common device that letters, numbers and command from a user? उपयोगकर्त्ता द्वारा अक्षरों संख्याओं और कमांड को ग्रहण करने के लिए प्रयुक्त सर्वाधिक आम डिवाइस इनमें से कौन सा हैं?
According to I.S. 456, the number of grades of standard concrete mixes are
Pyramids are example of _______ masonry
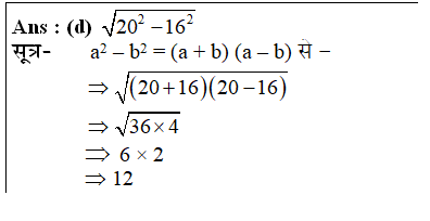
Explanations:
Download our app to know more Lorem ipsum dolor sit amet consectetur adipisicing elit. Excepturi, esse.
Unlocking possibilities: Login required for a world of personalized experiences.