chronological order of their establishment: निम्नलिखित समितियों को उनकी स्थापना के उचित कालानुक्रम में व्यवस्थित कीजिए– (1) Alagh Committee/अलघ समिति (2) Tendulkar Committee/तेंदुलकर समिति (3) Rangarajan Committee/रंगराजन समिति (4) Lakdawala Committee/लकड़ावाला समिति Choose the correct answer from the options given below:/नीचे दिए गए विकल्पों में से सही उत्तर का चुनाव कीजिए–
21 अक्टूबर, 1943 को किस स्थान पर एस.सी. बोस ने स्वतंत्र भारत की अनंतिम सरकार का गठन किया था?
‘पशुता’ शब्द उदाहरण है–
Which committee is consituted by the Government if population of a particular area exceeds 3 lakh?
The software that is used to control the computer's work flow, organize its data and perform house keeping functions in known as: कम्प्यूटर के कार्य प्रवाह को नियंत्रित करने के लिए उपयोग किया जाने वाला सॉफ्टवेयर, इसके डेटा को व्यवस्थित करता है और हाउस कीपिंग पंâक्शन्स के रूप में जाना जाता है।
रेती का ग्रेड सूचित करता है–
Which one of the following statements is correct with respect to community operator? सामुदाय संचालक के संदर्भ में निम्नलिखित में से कौन सा कथन सही है ? I. A community leader is a person who promotes community participation. I. सामुदाय संचालक एक ऐसा व्यक्ति है जो सामुदायिक भागीदारी को बढ़ाता है। II. A teacher can be an effective community operator and can make the most of available resources to enhance student learning and achivement. II. एक शिक्षक एक प्रभावी सामुदायिक संचालक हो सकता है और वह विद्यार्थियों के अधिगम तथा उपलब्धि को बढ़ाने के लिए उपलब्ध संसाधनों का अधिकतम उपयोग कर सकता है।
Select the most appropriate synonym of the given word. Mandate
30वें सेना प्रमुख के रूप में किसने कार्यभार संभाला?
निम्नलिखित दिये गये कारणों में से किस कारण से राज्य वित्त आयोग का सदस्य बनने से अयोग्य घोषित किया जा सकता है?
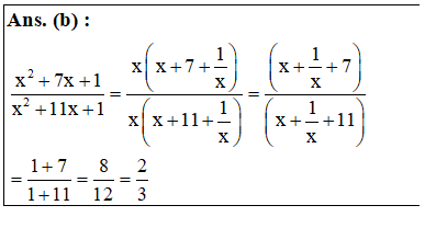
Explanations:
Download our app to know more Lorem ipsum dolor sit amet consectetur adipisicing elit. Excepturi, esse.
Unlocking possibilities: Login required for a world of personalized experiences.