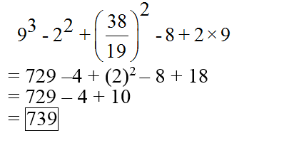
Calculate the sum of squares of number from 1 to 10.
तेलीय पदार्थों की आग बुझाने हेतु कौन-सा अग्निशामक प्रयोग होता है?
As per IS 456:2000, the maximum free water ratio of concrete with normal weight aggregates of 20 mm nominal maximum size to be used in RCC structures at mild exposure condition is
संयुक्त सैन्य अभ्यास 'एक्सरसाइज मित्र शक्ति-2023' का आयोजन भारत और किस देश के साथ किया गया था?
न्यूटन का निम्नलिखित में से कौन सा नियम बल की परिमाणात्मक परिभाषा देता है।
A book was sold for `230 with a profit of 15%. If it was sold for `210, then what would have been the percentage of profit or loss?
With high speed tools, the maximum safe operation temperature is of the order of H.S.S. के लिए उच्चतम सुरक्षित कार्यकारी तापक्रम है
Which of the following is most acidic? निम्नलिखित में से कौन–सा सर्वाधिक अम्लीय है।
निर्देश : निम्नलिखित गद्यांश को ध्यान से पढि़ए तथा प्रश्न संख्या 66 से 70 तक के उत्तर इस गद्यांश के आधार पर दीजिए- ‘‘हर एक राष्ट्र अपनी संस्कृति के बल पर ही प्रगति करता है। सांस्कृतिक धरोहर के माध्यम से ही वह अपना जीवन सुखी, उपयोगी, शान्त तथा आनन्दमय बना सकता है। सभ्यता एवं संस्कृति में घनिष्ठ सम्बन्ध होते हुए भी अंतर है। जीवन को श्रेष्ठ तथा उन्नत बनाने के साधनों का नाम संस्कृति है और उन साधनों से प्राप्त जीवन प्रणाली का नाम सभ्यता है। किसी राष्ट्र की भौगोलिक परिस्थितियों का भी उसकी संस्कृति पर प्रभाव पड़ता है।’’ सभ्यता और संस्कृति में-
‘‘पाणिपादम्’’ में समास है
Explanations:
Download our app to know more Lorem ipsum dolor sit amet consectetur adipisicing elit. Excepturi, esse.
Unlocking possibilities: Login required for a world of personalized experiences.