In the following passage some words have been deleted. Fill in the blanks with the help of the alternatives given. Select the most appropriate option for each blank. The political condition of India in the eighteenth century was one of extreme disunity. (1)____the decline of the Mughal empire, no (2)_____Indian power emerged to take its (3)_____ in strength and prestige and to unite the (4) _____ under a central authority. The Marathas who rose (5)____ the position of pre-eminence among the new Indian states did not prove capable of fulfilling that task. Select the most appropriate option for blank No. 4
दो ओलंपिक पदक जीतने वाली पहली भारतीय महिला कौन बनीं?
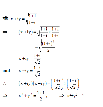
.
किस बैंक को हाल ही में भारत का सर्वश्रेष्ठ बैंक घोषित किया गया?
In which year was 50% reservation to women in Panchayat bodies provided in Bihar? a बिहार में पंचायत निकायों में महिलाओं को 50% आरक्षण किस वर्ष प्रदान किया गया था?
एक वस्तु 28% के लाभ पर बेची जाती है। यदि इसके क्रय मूल्य में 50 की वृद्धि की जाती है, और मूल्य में 18 की कमी की जाती है, तो प्राप्त लाभ 11.6% हो जाएगा। वस्तु का मूल क्रय मूल्य (Rs में) ज्ञात कीजिए।
किस मामले में सर्वोच्च न्यायालय ने यह निर्णय दिया कि अनुच्छेद 21 के तहत संरक्षण केवल स्वेच्छित कार्यकारी कारवाई के विरुद्ध उपलब्ध है, न कि स्वेच्छित वैधानिक कारवाई के विरुद्ध?
Which of the following is called the father of supercompg ?
सेना : सैनिक :: स्कूल : ?
Explanations:
Download our app to know more Lorem ipsum dolor sit amet consectetur adipisicing elit. Excepturi, esse.
Unlocking possibilities: Login required for a world of personalized experiences.