In which of the following parts of India Monsoon Trough encourage(s) the development of thermal low? भारत के निम्नलिखित हिस्सों में से कौन-सा/से मानसून ट्रफ थर्मल लो के विकास को प्रोत्साहित करता है/हैं? A. North india/उत्तर भारत B. South india/दक्षिण भारत C. North west india/उत्तर-पश्चिम भारत D. North east india/पूर्वोत्तर भारत
भारत ने एक मजबूत केन्द्र के साथ संघीय प्रणाली का विचार उधार लिया था
किसी छात्र समूह में, लड़कियों की संख्या लड़कों की संख्या की तीन-चौथाई है। यदि लड़कियों की संख्या का दो-तिहाई भाग और लड़कों की संख्या का आधा भाग आम का रस पसंद करता है, तो लड़कियों और लड़कों की कुल संख्या का कितना भाग आम का रस पसंद करता है?
A converging lense of focal length f is placed in contact with a diveriging lens of focal length 3f. The combination is f फोकल लंबाई का एक अभिसारी लेंस, 3f फोकल लंबाई के एक अपसारी लेंस के सम्पर्क में रखा गया है। संयोजन है
महिला एशिया कप 2024 का आयोजन कहां किया जा रहा है?
भारतीय संविधान के अनुच्छेद ––––––– के अनुसार, वर्ष का केन्द्रीय बजट, जिसे वार्षिक वित्तीय विवरण भी कहा जाता है, उस वर्ष विशेष हेतु सरकार की अनुमानित प्राप्तियों और व्यय का विवरण होता है।
गारो किस राज्य में बोली जाती है?
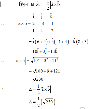
.
If L is the correct length of a chain, L' is the incorrect length and D' is the measured length, then the correct length is
Which instrument can measure the humidity of the atmosphere? किस यंत्र से वायुमंडल की आद्र्रता मापी जा सकती है?
Explanations:
Download our app to know more Lorem ipsum dolor sit amet consectetur adipisicing elit. Excepturi, esse.
Unlocking possibilities: Login required for a world of personalized experiences.