एशियन किंग वल्चर के संरक्षण के लिए भारत का पहला केंद्र किस राज्य में शुरू किया गया है?
मुगल शैली में व्यक्ति चित्रण को विशेष स्थान किसके समय में मिला-
Which emperor shifted his capital from Delhi to Daulatabad?
.
Which of the following statements is correct with regard to the reflection of light by a spherical mirror? (A) A convex mirror converges the light rays incident parallel to its principal axis. (B) A concave mirror converges the light rays incident parallel to its principal axis. (C) Convex mirror can form both, real and virtual images. (D) Concave mirror can form both, real and virtual images.
With reference to emotional development, which of the following statements is correct? भावनात्मक विकास के संदर्भ में, निम्नलिखित में से कौन सा कथन सही है? I. Very young infant have emotional estate and they can imitate the emotional expressions of others. I बहुत छोटे शिशुओं में भावनात्मक स्थितियां होती है और वे दूसरों की भावनात्मक अभिव्यक्ति की नकल कर सकते हैं। Pre school children use emotional labels to talk about their own and the feelings of others. II. पूर्वस्कूली बच्चे अपनी और दूसरों की भावनाओं के बारे में बात करने के लिए भावनात्मक लेबल का उपयोग करते हैं।
Given below are four sentences in jumbled order. Pick the option that gives their correct order. A. But it does not appear to have any effect on the children. B. School teachers try to do their best from the early years by ordering, "Silence!" every few seconds in the class. C. They look sweet and elegant but the moment they open their mouths, they let out a shattering volume of sound. D. Someone noted recently that present day babies are peculiarly loud-throated.
निम्नलिखित में से किस टेस्टिंग का प्रयोग सतह और सतह के नीचे दोनों दोष के लिए नहीं किया जा सकता?
टेढ़ी–मेढ़ी सतहों को जांचने के लिए प्रयोग होने वाला कौन सा रूल है?
Centre of pressure on an inclined plane is ......... झुके हुए तल पर दाब का केन्द्र,.....................होता है।
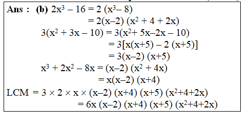
Explanations:
Download our app to know more Lorem ipsum dolor sit amet consectetur adipisicing elit. Excepturi, esse.
Unlocking possibilities: Login required for a world of personalized experiences.