In which year Nainital was made summer capital of Uttar Pradesh after independence? स्वतंत्रता पश्चात किस वर्ष नैनीताल को उत्तर प्रदेश की ग्रीष्मकालीन राजधानी बनाया गया?
Which of the following is a capital expenditure: निम्न में से कौन पूँजीगत व्यय है -
Fill in the blank with one of the following alternatives : The furniture in the house_____ been replaced.
भारत के संविधान के किस अनुच्छेद के प्रावधानों के अंतर्गत, भारत रत्न पुरस्कार का प्रयोग प्राप्तकर्ता के नाम के लिए उपसर्ग या प्रत्यय के रूप में नहीं किया जा सकता है?
In parliamentary form of govt. ministers are appointed by— संसदीय सरकार में मन्त्रियों की नियुक्ति की जाती है -
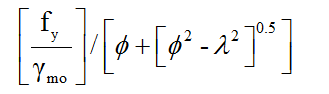
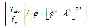
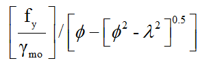
.
इनमें से कौन-सा शब्द ‘अरूण’ शब्द का अर्थ नहीं है?
If the 5-digit number 538xy is divisible by 3, 7 and 11, then the value of (x² + y²) is:
वेल्डिंग के लिए कौन-सी गैस प्रयोग होती है?
What is the surface of Mahabharat Series Paintings created by M.F. Hussain? एम.एफ. हुसैन द्वारा निर्मित महाभारत शृंखला के चित्रों का सतह क्या है?
Explanations:
Download our app to know more Lorem ipsum dolor sit amet consectetur adipisicing elit. Excepturi, esse.
Unlocking possibilities: Login required for a world of personalized experiences.