Pipes A and B can fill a tank in 16 hours and 24 hours, respectively, whereas pipe C can empty the full tank in 40 hours. All three pipes are opened together, but pipe C is closed after 10 hours. After how many hours will the remaining part of the tank be filled?
How many Constitutional Amendments to the constitution of India have been made so far? भारत के संविधान में अब तक कितने संशोधन कराए जा चुके हैं?
Who was the Chairman of the first meeting of Indian National Congress, held in Bombay in 1885 A.D.? 1885 ई. में बाम्बे में सम्पन्न होने वाले भारतीय राष्ट्रीय कांग्रेस के प्रथम अधिवेशन का अध्यक्ष कौन था?
.
वर्ल्ड ब्लिट्ज शतरंज चैंपियनशिप का आयोजन कहां किया गया?
Who first presented the union budget in 1947?
Who has said about Bengal Partition, "The partition announcement fell like a bomb shell "? बंगाल विभाजन के विषय में किसने कहा था, ‘विभाजन हमारे ऊपर बम की तरह गिरा’?
कला एवं शिल्प महाविद्यालय, लखनऊ के पहले भारतीय प्रधानाचार्य थे–
कस्य नेत्रे जलासिक्ते आस्ताम् ?
निम्न मेंं से कौन सी संख्या 9 से विभाज्य नहीं है ?
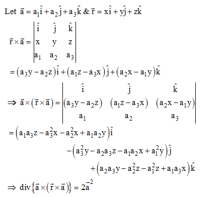
Explanations:
Download our app to know more Lorem ipsum dolor sit amet consectetur adipisicing elit. Excepturi, esse.
Unlocking possibilities: Login required for a world of personalized experiences.