Pinter’s work has added two expressions to the contemporary lexicon, Pinteresque and…
Directions (Q. Nos. 98 to 100) : Choose the correct meanings of the following idioms/phrases out of the choices given below. An old hand
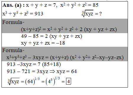
.
वर्नियर कैलीपर से क्या मापा जाता है?
The WTO's 12th Ministerial Conference (MC12) took place from 12 to 17 June 2022 at WTO headquarters in which of the following places? WTO का 12वाँ मंत्रिस्तरीय सम्मेलन (MC12) 12 से 17 जून 2022 तक WTO मुख्यालय में निम्नलिखित में से किस स्थान पर हुआ?
Vikramshila gangetic dolphin sanctuary is located in which of the following states of India? विक्रमशिला गंगा डॉल्फिन अभ्यारण भारत के निम्नलिखित में से किस राज्य में स्थित हैं?
निम्नलिखित मूर्तियों में से कौन सी मूर्ति आजादी के प्रतीक के रूप में एक फ्रांसीसी मूर्तिकार द्वारा डिजाइन की गई है?
In a certain code language, 'PENCIL' is written as 'MKFRJV' and 'ERASER' is written as 'SGVEWK'. How will 'MASTER' be written in that language?
Explanations:
Download our app to know more Lorem ipsum dolor sit amet consectetur adipisicing elit. Excepturi, esse.
Unlocking possibilities: Login required for a world of personalized experiences.