For a cantilever beam of length L with a clockwise moment M at its free end, the maximum bending moment will occur at : L लम्बाई के एक प्रास धरन के लिए जिसके मुक्त सिरे पर दक्षिणावर्त घूर्ण Mहै अधिकतम नमन आघूर्ण इस पर होगा।
.
विश्व धर्म सम्मेलन कहाँ सम्पन्न हुआ था?’ -यह किस प्रकार का वाक्य है ?
When was the Council of States (Rajya Sabha) first constituted?
रजनीश ने एक बैंक से ₹ 1,500 की राशि उधार ली और दो समान वार्षिक किश्तों में ब्याज सहित पूरी राशि चुका दी, जहाँ रजनीश ने बैंक से उधार लेने के एक वर्ष बाद पहली किश्त का भुगतान किया। यदि ब्याज की दर 40% वार्षिक थी और ब्याज वार्षिक रूप से चक्रवृद्धि होता था, तो रजनीश द्वारा भुगतान की गई प्रत्येक किश्त का मूल्य (` में) ज्ञात करें।
Which is the branch of engineering that deals with the study of behavior of liquid when it is at rest or in motion? इंजीनियरिंग की वह शाखा कौन-सी है जो तरल के व्यवहार के अध्ययन से संबंधित है जब यह स्थिर या गति में है ?
अन्त:क्षेपण काल को..........प्राप्त करने के लिए बढ़ाया जाता है–
अन्वेषण के दौरान झूठ पकड़ने के लिये निम्न में से किसका प्रयोग किया जा सकता है?
किसे हाल ही में एयरपोर्ट अथोरिटी ऑफ़ इंडिया का अध्यक्ष नियुक्त किया गया?
What is the maximum permissible 24 hours water absorption of trap stones by volume?
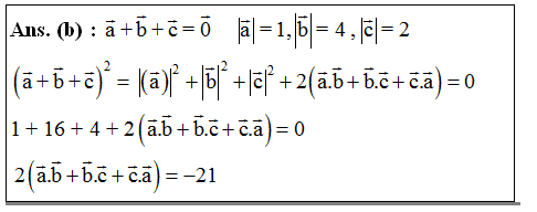
Explanations:
Download our app to know more Lorem ipsum dolor sit amet consectetur adipisicing elit. Excepturi, esse.
Unlocking possibilities: Login required for a world of personalized experiences.