Three workers, X, Y and Z, can finish a job in 6 days, 9 days and 18 days, respectively. How long will it take them to finish the job if they all work together?
प्रि़जमैटिक लैन्स का दूसरा नाम क्या है?
The locus represented by |z–1| = |z+i| is:
In approximate quantities method of preparing approximate estimate, wall foundations are measured in _______.
छह विद्यार्थी एक गोल मेज के परितः केंद्र की ओर अभिमुख होकर बैठे हैं। उदय और उन्नति दोनों का निकटतम पड़ोसी उदित है। उमेश, उन्नति के दाएं से दूसरे स्थान पर बैठा है। उत्पल, उदय के बाएं से तीसरे स्थान पर बैठा है। उमेश और उदय दोनों का निकटतम पड़ोसी उत्सव है। उमेश और उन्नति दोनों का निकटतम पड़ोसी कौन है?
Madhya Pradesh has become the first state to implement SATHI project. This project is related to- मध्य प्रदेश साथी परियोजना को लागू करने वाला पहला राज्य बन गया है। यह परियोजना .......... से संबंधित है।
बथुकम्मा उत्सव मुख्य रूप से किस भारतीय राज्य में मनाया जाता है?
If MPC = 0.5, the multiplier (k) will be यदि MPC = 0.5, तो गुणक (k) का मान होगा –
अक्षर समूहों के निम्नलिखित अनुक्रम में क्या लापता है? abc, dfh, ?, ptx
In which type of dressing are only the edges of a stone block levelled with the help of a hammer?
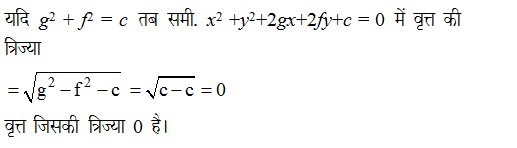
Explanations:
Download our app to know more Lorem ipsum dolor sit amet consectetur adipisicing elit. Excepturi, esse.
Unlocking possibilities: Login required for a world of personalized experiences.