डॉ. एन. गोपालकृष्णन का निधन हो गया है, वह किस क्षेत्र से जुड़े हुए थे?
Which of the following statements about a ;Unicorn is/are correct?/‘यूनिकॉर्न’ के बारे में, निम्नलिखित में से कौन-सा/से कथन सही है/हैं? 1. In the venture capital industry, the term ;Unicorn ; refers to any startup that reaches the valuation of $10 billion/उद्यम पूँजी उद्योग में, ‘यूनिकॉर्न’ शब्द $10 बिलियन के मूल्य-निर्धारण तक पहुँचने वाले किसी स्टार्ट-अप को निर्दिष्ट करता है। 2. Only a privately held startup can be a unicorn./केवल निजी धारण का स्टार्ट-अप ही यूनिकॉर्न हो सकता है। Select the correct answer using the code given below: नीचे दिए गए कूट का प्रयोग कर सही उत्तर चुनिए।
Question : P, Q, W, V and S are standing in descending order according to their weight in a row. Who is in the middle? Statement: 1. P is heavier than S and V is lighter than S. 2. Q is heavier than P and W is lighter than V.
कांग्रेस सोशियलिस्ट पार्टी (सीएसपी) का गठन किस वर्ष हुआ था?
One furlong is equal to ______
UIDAI ने आधार सिस्टम की सुरक्षा और विश्वसनीयता बढ़ाने के लिए किस संस्था के साथ 5 साल का R&D समझौता किया है?
Which two numbers should be interchanged to make the following equation correct? 3 × 6 + 72 ÷ 8 – 24 = 12
वाहन खड़ा किया जा सकता है–
अप्रैल 2025 में किस राज्य में सारथी चैटबॉट लॉन्च किया है?
In Wheatstone bridge method of finding unknown resistance or inductance, the instrument used as null detector is अज्ञात प्रतिरोध या प्रेरकत्व पता करने के लिए बीटस्टोन ब्रिज पद्धति में शून्य डिटेक्टर के रूप में इस उपकरण का उपयोग होता है
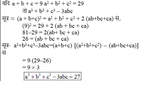
Explanations:
Download our app to know more Lorem ipsum dolor sit amet consectetur adipisicing elit. Excepturi, esse.
Unlocking possibilities: Login required for a world of personalized experiences.