एक नाव 12 किमी की दूरी तय करती हैे। धारा की दिशा में पहले 4 किमी की दूरी 15 मिनट में तय की जाती है। अगले 8 किमी की दूरी धारा के विपरीत दिशा में तय की जाती है। धारा की दिशा में नाव की चाल, धारा के विपरीत दिशा में नाव की चाल से दोगुनी है। यात्रा की औसत चाल ज्ञात कीजिए-
.
______comprehension is the skill of reading a piece of text closely or intensely for the purpose of extracting specific information from the text.
निम्नलिखित में से कौन सा समुद्रीय बंरगाह कच्छ की खाड़ी में है?
Select the most appropriate synonym of the given word. HIND
Aristotle believed that virtuous citizens could be produced by cultivating :
बर्न किस देश की राजधानी है?
Haplontic type of life cycle is present in हेप्लोन्टिक प्रकार का जीवन चक्र पाया जाता है
Which of the following as the first site where Indus Valley Civilization was discovered?
केंद्रीय मंत्री ज्योतिरादित्य सिंधिया ने छत्रपति शिवाजी महाराज की 25 फुट की भव्य प्रतिमा का अनावरण कहाँ किया?
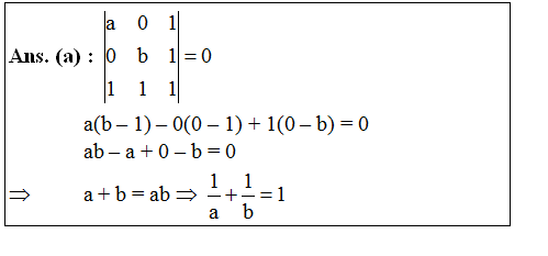
Explanations:
Download our app to know more Lorem ipsum dolor sit amet consectetur adipisicing elit. Excepturi, esse.
Unlocking possibilities: Login required for a world of personalized experiences.