The general range of audible frequencies for humans is- मनुष्यों के लिए श्रव्य आवृत्तियों की सामान्य परास है-
Find the least number, which when divided by 16, 24, 36 and 54, leaves remainder 12, 20, 32 and 50 respectively?
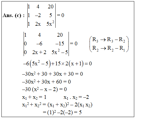
.
रस निष्पत्ति के संदर्भ में ‘भुक्तिवाद’ किस आचार्य का मत है?
The surface of a liquid acts like a stretched elastic membrane under tension. This is mainly due to ____________.
For resource conservation it is necessary : संसाधन संरक्षण के लिए आवश्यक है–
निर्देश–प्रश्न 90-95 पर्यन्तं प्रश्ना: प्रस्तुतगद्यांशमाधारीकृत्य समाधेया:– कस्यापि राष्ट्रस्य कृते स्वराज्यसदृशमन्यत् भूतं प्रभूतं वैभवं नास्ति। एतेन ध्वन्यते प्रस्फुटं यत् प्रजातन्त्रं शासनमपि तदेवोत्कृष्टं यत्स्वराज्यसंवलितं भवेत्। एष प्रजातन्त्रप्रसङ्ग: अन्यत्रापि संस्कृतसाहित्ये दरीदृश्यते। प्रायश: वर्षाणां सहस्रद्वयी व्यतीयाय यदा राजनीतिनिपुण: कौटिल्यापरनामधेय: आचार्यचाणक्य: बभूव। तेन कूटनीति धुरंधरेण एकायत्तं नन्दवंशप्रशासनमुच्छिद्य मौर्यकुलभूषणं चन्द्रगुप्तं राज्यसिंहासने प्रतिष्ठापयामास। महान् राजनीतिज्ञ: कौटिल्य: चन्द्रगुप्तस्य कृते साम्राज्यधुरं निर्वोढुमर्थशास्त्रविधं लोकविश्रुतं राजनीतितन्त्रं प्रणिनाय। यत्र प्रजातन्त्रपद्धतिमेवावलम्ब्य राज्यतन्त्रं सञ्चायितव्यमिति सर्वं सुनिपुणं प्रतिपादितम्। शास्त्रमिदं राज्यचक्रसञ्चालनौपयिकान् अर्थान् अनुबध्नाति राजाप्रजाऽनुबन्धिन: समस्तानप्यावश्यकान् विषयान् संस्पृशति। ग्रन्थरत्नमिदमवलोक्य पाश्चात्य अपि नीतिविशारदा विस्मिता भवन्ति यद्भारतेऽपि ईदृशा नीतिनिपुणा: पण्डिता: समजायन्त:। राजा प्रजाऽनुबन्धिन: समस्तानप्यावश्यकान् विषयान् संस्पृशति
Select the most appropriate ANTONYM of the underlined word. The data on the number of Covid-19 cases is alarming.
पांच जिलों के छात्रों द्वारा अंग्रेजी में प्राप्त किए गए अंकों का औसत प्रतिशत ज्ञात कीजिए।
In the following question, select the word which cannot be formed using the letters of the given word. निम्नलिखित विकल्पों में से वह शब्द चुनिए जो दिए गए शब्द के अक्षरों का प्रयोग करके नहीं बनाया जा सकता। BRODCASTING
Explanations:
Download our app to know more Lorem ipsum dolor sit amet consectetur adipisicing elit. Excepturi, esse.
Unlocking possibilities: Login required for a world of personalized experiences.