यूपी में चीनी चिकनी मिट्टी कहाँ से प्राप्त होती है?
बीज गुणवत्ता का कौन-सा घटक बीज के द्वारा संचारित रोगों से संबंधित है?
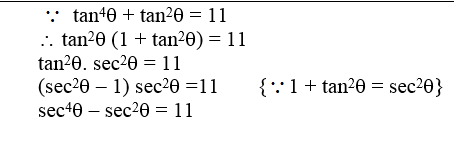
.
The 25th central Zonal Council meeting was held in June 2025? जून, 2025 में 25 वीं मध्य क्षेत्रीय परिषद की बैठक का आयोजन किया गया?
The ability of an ion to bring about coagulation of a colloid depends upon एक कोलायड के स्कन्दन की एक आयन की क्षमता निर्भर करती है?
What is the value of Young's modulus for M25 concrete as per IS 456:2000?
Kaziranga wildlife sanctuary is famous for काजीरंगा वन्य जीव अभ्यारण्य प्रसिद्ध है?
₹20,609 की धनराशि को A और B के बीच इस तरह विभाजित करें, कि 3% वार्षिक चक्रवृद्धि ब्याज की दर से 7 वर्ष के बाद A को प्राप्त मिश्रधन (₹में), समान दर से 9 वर्ष बाद B को प्राप्त मिश्रधन (₹ में) के बराबर हो, यदि ब्याज की गणना वार्षिक चक्रवृद्धि आधार पर की जाती है।
Which industry has the highest contribution in the secondary sector of Madhya Pradesh in the year 2021-22? वर्ष 2021-22 में, मध्य प्रदेश के द्वितीयक क्षेत्र में किस उद्योग का योगदान सर्वाधिक है?
Explanations:
Download our app to know more Lorem ipsum dolor sit amet consectetur adipisicing elit. Excepturi, esse.
Unlocking possibilities: Login required for a world of personalized experiences.