.
'The history of all hitherto existing societies is the history of class struggle' These lines appear in the book ‘अब तक के समाजों का इतिहास वर्ग संघर्ष का इतिहास है’। यह पंक्तियाँ किस पुस्तक से हैं?
श्री अन्न (बाजरा) उत्पादन के संदर्भ में, निम्नलिखित देशों का सही अवरोही क्रम क्या है?
निम्नलिखित में से कौन-सा भारत के सभी एटीएम को जोड़ने का काम करता है?
Which of the following is correct about the qualifications set out by the Government of India for the appointment of the Chief of Defence Staff (CDS)?
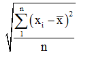
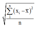
What is the frequency of the wave if the time interval of the vibrating object is 0.04 seconds?
Which is the oil refinery having maximum capacity in India?/भारत का सर्वाधिक क्षमता वाला तेल शोधन कारखाना कौन-सा है?
अंग्रेजों के विरुद्ध `बनारस विद्रोह' का नेतृत्व किसने किया था?
Below are two statements. Choose the correct answer from given options. Statement (I) : People of West Bengal prefer to eat rice and people of Kerala prefer to eat roti. Statement (II) : Things which are grown easily at the place are eaten more at that particular place.
Explanations:
Download our app to know more Lorem ipsum dolor sit amet consectetur adipisicing elit. Excepturi, esse.
Unlocking possibilities: Login required for a world of personalized experiences.