अभिज्ञानशाकुन्तलम् नाटक में वर्णित गौतमी है
A fraction is such that the numerator is five less than denominator. Also four times the numerator is one more than the denominator. Find the fraction.
Among the chemical reactions given below, identify the double decomposition reaction. नीचे दी गयी रासायनिक अभिक्रियाओं मे द्वि अपघटन अभिक्रिया को इंगित करिए।
.
इडुक्की बांध किस नदी पर बनाया गया है?
Find the “odd one out”.
Read the given statements and conclusions carefully. Assuming that the information given in the statements is true, even if it appears to be at variance with commonly known facts, decide which of the given conclusions logically follow (s) from the statements. Statements: 1. All Cars are Eatable Goods. 2. All Geysers are Eatable Goods. Conclusions: i. Some Cars are Geyers. ii. Some Geyers are Cars.
हाल ही में किस राज्य सरकार ने संस्कृत को अनिवार्य विषय के रूप में घोषित करने की तैयारी कर रहा है?
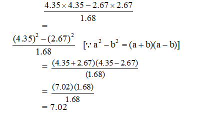
Explanations:
Download our app to know more Lorem ipsum dolor sit amet consectetur adipisicing elit. Excepturi, esse.
Unlocking possibilities: Login required for a world of personalized experiences.