Calculate the capital value of a building whose rent is ₹10,000 per annum, inclusive of all taxes. Outgoings are 18% of the gross rent, and the expected rate of return is 9% with a 60- year life of the building.
.
निम्नलिखित में से कौन-से राष्ट्रीय उद्यान/वन्यजीव अभयारण्य बिहार में हैं? 1. वाल्मीकि राष्ट्रीय उद्यान 2. दुधवा राष्ट्रीय उद्यान 3. गजनेर वन्यजीव अभयारण्य 4. भीम बांध वन्यजीव अभयारण्य नीचे दिए गए कूट का प्रयोग कर सही उत्तर चुनिए।
Which of the following statements about art is correct?/कला के संदर्भ में निम्नलिखित में से कौन सा कथन सही है? Education in art refers to specialized knowledge of grammar in any one art form only. I. कला में शिक्षा किसी एक कला रूप में केवल व्याकरण के विशेष ज्ञान को संदर्भित करती है। II. Art in education uses grammar, principles and Technigues and also helps in the growth and development of the individual. II. शिक्षा में कला व्याकरण, सिद्धांत और तकनीक का उपयोग करती है और व्यक्ति के वृद्धि और विकास में भी मदद करती है।
एक व्यक्ति ने सावधि जमा में 10% वार्षिक साधारण ब्याज पर `15,600 जमा किए। प्रत्येक दूसरे वर्ष के बाद वह अर्जित ब्याज को मूलधन में जोड़ता है। 4 वर्ष के अंत में ब्याज ________ है
"The direction of an induced emf is such that it will always opposes the change that is causing". This law is called as ‘‘प्रेरित emf की दिशा ऐसी होती है कि यह हमेशा उस परिवर्तन का विरोध करती है जिसके कारण यह उत्पन्न हुआ है’’ यह नियम कहा जाता है–
दिए गए गद्यांश के आधार पर प्रश्न के उत्तर दीजिए। विद्यासागर महान विद्वान और समाज सुधारक थे। यद्यपि वह संस्कृत के बहुत बड़े विद्वान थे तथापि उनके दिमाग के दरवा़जे पाश्चात्य चिंतन में जो कुछ सर्वोंत्तम था उसके लिए खुले हुए थे। वे भारतीय और पाश्चात्य संस्कृति के एक सुखद संयोग का प्रतिनिधित्त्व करते थे। उन्होंने सरकारी सेवा से त्यागपत्र दे दिया क्योंकि वह अनु्रचित सरकारी हस्तक्षेप बर्दाश्त नहीं कर सके। उन्होेंने संस्कृत कॉलेज के दरवा़जे गैर-ब्राह्मण विद्यार्थियों के लिए खोल दिए क्योंकि वह संस्कृत के अध्ययन पर ब्राह्मण जाति के तत्कालीन एकाधिकार के विरोधी थे। विद्यासागर को उनके देशवासी भारत की पद दलित नारी जाति को ऊँचा उठाने में उनके योगदान के कारण आज भी याद करते हैं। उन्होंने विधवा पुनर्विवाह के लिए लंबा संघर्ष चलाया। हमारे देश की उच्च जातियों मे पहला ़कानूनी हिंदू विधवा पुनर्विवाह कोलकाता में 7 दिसंबर 1856 को विद्यासागर की प्रेरणा से और उनकी ही देखरेख में हुआ। विधवा पुनर्विवाह की वकालत करने के कारण विद्यासागर का पोंगापंथी हिंदुओं की कटु शत्रुता का सामना करना पड़ा। उनके इस काम में जरुरतमंद दम्पत्तियों की आर्थिक सहायता भी शामिल थी। विद्यासागर ने 1850 में बाल- विवाह का विरोध किया। स्कूलों के सरकारी निरीक्षक की हैसियत से उन्होंनें 35 बालिका विद्यालयों की स्थापना की। बेथुन स्वूâल के मंत्री की हैसियत से वह उच्च नारी शिक्षा के अग्रदूतों में से थे। बेथुन स्कूल की स्थापना 1849 में कलकत्ता में हुई। लड़कियों को आधुनिक शिक्षा पर जोर देने के कारण उनके प्रयास सफल नहीं हो सके। अनेक लोगों का ख्याल था कि पाश्चात्य शिक्षा पाने वाली लड़कियाँ अपने पतियों को अपना गुलाम बना देंगीं। भारतीय परम्परावादी लोगों का नारी शिक्षा को अनुचित मानने के पीछे कारण था कि --
Which particle is free of charge? निम्नलिखित में से कौन-सा कम आवेश-रहित है?
2018में एक कॉलोनी की जनसंख्या 54000 हो गयी, जो 5 प्रतिशत प्रति वर्ष की दर से बढ़ रही है। 2 साल पूर्व कॉलोनी की आबादी ज्ञात करें।
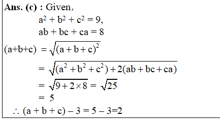
Explanations:
Download our app to know more Lorem ipsum dolor sit amet consectetur adipisicing elit. Excepturi, esse.
Unlocking possibilities: Login required for a world of personalized experiences.