Select the most appropriate indirect form of the given sentence. Seema said to her daughter, "Don't go near the well."
सामूहिक सम्प्रेषण का गुण है–
Based on the Fall Cone method, the weight of cone to be adopted for the measurement of plastic limit and liquid limit is फाँल शकु विधि (fall cone method) पर आधारित, सुघट्यता सीमा और द्रव सीमा के मापन के लिए शंकु (cone) का भार अपनाया जाता है-
Silt content in fine aggregates leads to______ महीन मिलावे में सिल्ट की मात्रा के कारण _________ होती है।
किसी घन का किनारा 8cm है। घन का कुल पृष्ठ क्षेत्रफल क्या है?
इनमें से रेखाचित्रपरक कौन सी कृति महादेवी वर्मा की नहीं है?
कक्षा में विद्यार्थियों की रुचि बनाए रखने के लिए एक शिक्षिक को उचित है
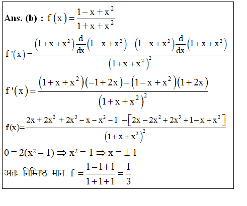
.
A अकेला किसी कार्य को 10 दिन में पूरा कर सकता है और B उस कार्य को 15 दिन में पूरा कर सकता है। A और B उस कार्य को `4,800 में हाथ में लेते है। ये C की मदद से उस कार्य को 5 दिन में पूरा करते है। C को कितनी धनराशि भुगतान करनी होगी ?
विशेष रूप से जरूरतमन्द बच्चों की शिक्षा का प्रबन्ध होना चाहिए–
Explanations:
Download our app to know more Lorem ipsum dolor sit amet consectetur adipisicing elit. Excepturi, esse.
Unlocking possibilities: Login required for a world of personalized experiences.