यदि 22, 15, 28, p और q का औसत 16 है, तो p और q का औसत ज्ञात कीजिए।
In the given letter-cluster triads, the letter-cluster in a particular triad are related following a certain logic. Study the given triads carefully and from the given options, select the triad that follows the same logic. (ACE : BDF : CEG) (SUW : TVX : UWY)
A table is sold at a discount of 45%. If the marked price of the table is Rs. 8800, then what is the selling price of the table. एक मेज को 45 प्रतिशत की छूट पर बेचा जाता है। यदि मेज का अंकित मूल्य 8800 रुपये है, तो मेज का विक्रय मूल्य क्या है?
How many parallel paths are required in 6 pole lap connected triplex DC machine? 6 पोल के लैप संयोजित ट्रिपलेक्स डीसी मशीन में कितने समांतर पाथ की आवश्यकता पड़ती है?
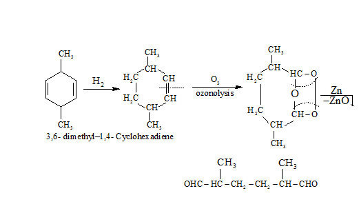
.
इनमें से कौन सी कार्यवाही सविनय अवज्ञा आंदोलन के शुरु होने की वजह बनी?
भारत का सर्वोच्च कानून किसे माना जाता है?
If the distance between A and B is 530 Km. From A, Namit goes to B with speed 37 km/h and return to A with the speed 77 km/h. Find the average speed of Namit. (rounded off to two decimal place) यदि A और B के बीच की दूरी 530 km है। नमित, A से B तक 37 km/h की चाल से जाता है और फिर 77 km/h की चाल से वापस A तक आता है। नमित की औसत चाल ज्ञात कीजिए। (दो दशमलव स्थान तक पूर्णांकित कीजिए)
Select the Venn diagram that best represents the relationship between the given groups of classes. Paragraph, Letter, Word, Sentence
Ramesh travels by bus from city A to city B at an average speed of 44 km/hr. Suresh travels by taxi from city A to city B at an average speed of 77 km/hr and takes 3 hours lesser than time taken by Ramesh. What is the distance (in km) between the two cities?
Explanations:
Download our app to know more Lorem ipsum dolor sit amet consectetur adipisicing elit. Excepturi, esse.
Unlocking possibilities: Login required for a world of personalized experiences.