A, B, C subscribe a sum of `75,500 for a business. A subscribes `3,500 more than B, and B subscribes `4,500 more than C. Out of a total profit of `45,300 how much (in `) does A receive?
What should you do if you encounter in surveying team member who experiences heat exhaustion symptoms while working in the field?
यदि A परीक्षा केन्द्र F पर उपस्थित अभ्यर्थियों की कुल संख्या के 15% के बराबर है तथा B परीक्षा केन्द्र K पर उपस्थित अभ्यर्थियों के बराबर है, तो A, B का कितना प्रतिशत है?
हिमालय के किस भाग में इसकी सबसे ऊँची पर्वत चोटी कंचनजंगा स्थित है?
एनी बेसेंट ______ के प्रभाव में एक फैबियन समाजवादी थीं।
An Assertion (A) and Reason (R) are given below. Assertion (A) : The Indian Constitution came into force on 26th January 1950. Reason (R) : 26th January is celebrated as Republic day. Choose the correct option-
निर्देश : अधोलिखितं गद्यांशं पठित्वा 121-125 प्रश्नानां विकल्पात्मकोत्तरेभ्य: उचिततमम् उत्तरं चित्वा लिखत – स्वराज्यं हि नाम राष्ट्रस्य परमोत्कर्षधायकं तत्त्वम्। सर्वेषां स्वराष्ट्रीय प्रजाजनानां सम्मत्या प्रतिविध्यविधया प्रवर्तितं यद्राज्यं तत्स्वराज्यपदेन व्यपदिश्यते। तादृशस्वराज्योपलब्ध्यर्थमेव जनै: प्रयतितव्यम् इति ऋग्वेदेऽपि समुपदिष्टम्। वेदे स्वराज्य-महिमा वर्णनार्थमेकमखिलं सूक्तमेव पठ्यते तद्धि स्वराज्यसूक्तमिति नाम्ना कथ्यते। अन्यत्रापि बहुत्र स्वराज्य गुणगरिमाऽवलोक्यते। कस्यापि राष्टस्य कृते स्वराज्यसदृशमन्यत् भूतं प्रभूतं वैभवं नास्ति। एतेन ध्वन्यते प्रस्फुटं यत् प्रजातन्त्रं शासनमपि तदेवोत्कृष्टं यत्स्वराज्यसंवलितं भवेत्। एष प्रजातन्त्रप्रसङ्ग: अन्यत्रापि संस्कृतसाहित्ये दरीदृश्यते। प्रायश: वर्षाणां सहस्रद्वयी व्यतीयाय यदा राजनीति निपुण: कौटल्यापरनामधेय: आचार्य चाणक्य: बभूव। तेन कूटनीतिधुरंधरेण एकायत्तं नन्दवंश प्रशासनमुदिश्य मौर्यकुलभूषणं चन्द्रगुप्तं राज्यिंसहासने प्रतिष्ठापयामास। महान् राजनीतिज्ञ: कौटिल्य: चन्द्रगुप्तस्य कृते साम्राज्यधुरं निर्वोढुमर्थशास्त्रविधं लोक विश्रुतं राजनीतितन्त्रं प्रणिनाय। यत्र प्रजातन्त्रपद्धतिमेवावलभ्य राज्यतन्त्रं सञ्चालयितव्यमिति सर्वं सुनिपुणं प्रतिपादितम्। उत्कृष्टं प्रजातन्त्रशासनमस्ति
Change the following sentence from Active Voice to Passive Voice. The police arrested the thief.
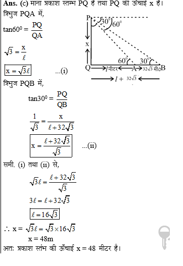
,
पंचायत चुनावों में नियुक्त अधिकारियों का सही वरिष्ठतम क्रम है–
Explanations:
Download our app to know more Lorem ipsum dolor sit amet consectetur adipisicing elit. Excepturi, esse.
Unlocking possibilities: Login required for a world of personalized experiences.