निम्नलिखित कथनों पर विचार कीजिए: 1. गुजरात में भारत का विशालतम सौर पार्क है। 2. केरल में पूर्णत: सौर शक्तिकृत अंतर्राष्ट्रीय हवाई अड्डा है। 3. गोवा में भारत की विशालतम तैरती हुई सौर प्रकाश-वोल्टीय परियोजना है। उपर्युक्त कथनों में कौन-सा/से सही है/हैं?
In which year was the Kala Parishad established in Bhopal भोपाल में कला परिषद किस साल स्थापित हुई थी?
During the construction of a steel truss roof, which of the following statements are correct? इस्पात कैंची छत के निर्माण के दौरान, निम्नलिखित में से कौन सा कथन सही है? (i) Steel truss transmits self-weight and roof loads vertically on the walls. इस्पात कैंची अपने भार तथा छत के भार को दीवारों पर लंबवत् रूप से स्थानान्तरित करती है (ii) Spacing between steel trusses are usually between 10 feet to 15 feet. इस्पात कैंची के बीच की दूरी आम तौर पर 10 फीट से 15 फीट के बीच होती है। (iii) Steel trusses use reduced dead load of building making structure unstable. इस्पात कैंची भवन के अचल भार को कम करने में प्रयोग करते हैं, जो संरचना को अस्थिर बनाती है।
तीन वर्ष पहले एक आदमी की आयु उसके पोते की आयु की छह गुनी थी। तीन वर्ष बाद, उसकी आयु उसके पोते की आयु के चार गुने से 6 अधिक होगी। पोते की वर्तमान आयु कितनी है?
When did the usage of the PIN code system start in India?/PIN कोड प्रणाली का उपयोग भारत में कब शुरू हुआ?
कौन–से फाउण्डेशन बोल्ट को आसानी से बदला जा सकता है?
1265 में से क्या घटाया जाए कि प्राप्त संख्या 29 से पूर्णत: विभाजित हो जाए?
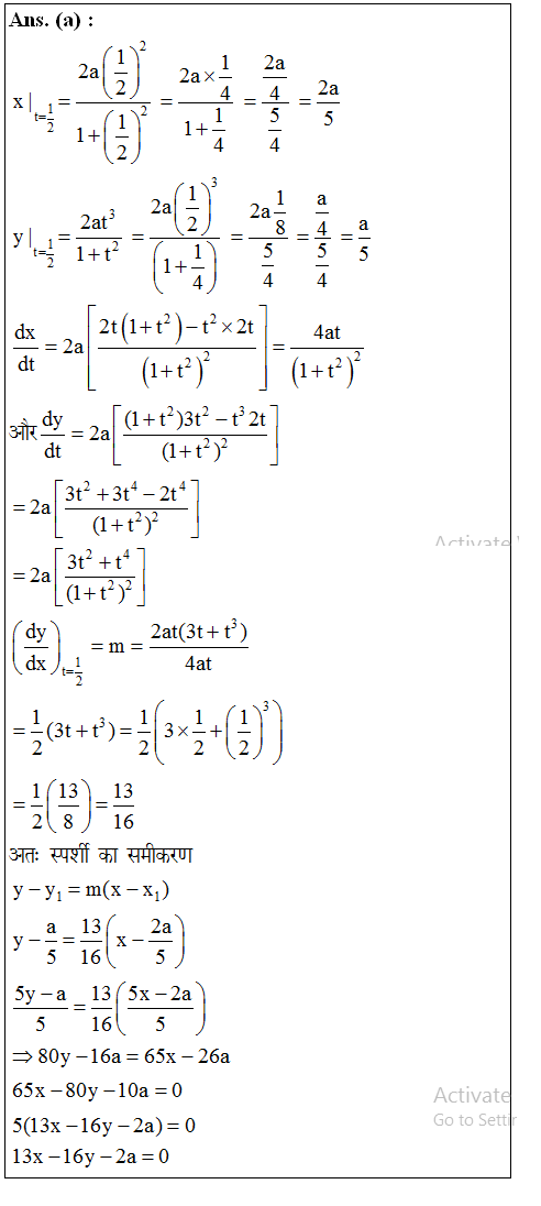
.
If the value of 90% of a number is 621, what will be the value of 50% of 20% of that number?
उत्तर प्रदेश के लोकायुक्त की पदधारण अवधि है-
Explanations:
Download our app to know more Lorem ipsum dolor sit amet consectetur adipisicing elit. Excepturi, esse.
Unlocking possibilities: Login required for a world of personalized experiences.