What is the chemical formula of quick lime? क्विक लाईम का रासायनिक सूत्र क्या हैं?
.
Select the word-pair in which the two words are related in the same way as are the two words in the following word-pair: Language : Telugu
एक महिला को एक निश्चित दूरी तय करने में लगने वाले समय को 80% कम करने के लिए अपनी कार की चाल में कितने प्रतिशत की वृद्धि करनी चाहिए?
जून, 2025 में 25 वीं मध्य क्षेत्रीय परिषद की बैठक का आयोजन किया गया?
73वें संवैधानिक संशोधन अधिनियम ने भारतीय संविधान में कौन-सा भाग जोड़ा गया है?
सम्पूर्ण ग्रामीण रोजगार योजना किस वर्ष शुरू की गयी थी?
उत्तर प्रदेश में यूपी पर्यटन द्वारा ‘बुंदेलखंड सर्किट में निम्न में से कौन-से गंतव्य शामिल हैं?
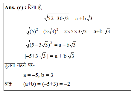
Explanations:
Download our app to know more Lorem ipsum dolor sit amet consectetur adipisicing elit. Excepturi, esse.
Unlocking possibilities: Login required for a world of personalized experiences.