A current transformer is used to measure ____ in a power system? एक विद्युत प्रणाली में .............. को मापने के लिए एक धारा ट्रांसफॉर्मर का उपयोग किया जाता है।
The division in cleavage is- विदलन में होने वाला विभाजन है-
In a certain code language, SCHOOL is coded as the number 72. What number will FLOWER be coded as in that language?
निम्नलिखित में से कौन-सा एक सजीव जीवों में एक नई जाति की उत्पत्ति के लिए सर्वाधिक महत्त्वपूर्ण घटक है?
प्रकाशन वर्ष की दृष्टि से विद्यानिवास मिश्र के निबन्ध संग्रहों का सही अनुक्रम है
,
If exactly 1 year and 2 days from now it is Thursday then what day is it today? This is not a leap year.
.
Given below are three statements and three conclusions. Take the statements to be true even if they are at variance with commonly known facts, and decide whether the conclusions/s follow/s the given statements. Statements I. All candies are melons II. All biscuits are melons III. All cakes are biscuits. Conclusions: I. All cakes are melons II. Some candies are biscuits III. Some candies are not biscuits
Under the Indian political system, there is reservation for women in the:
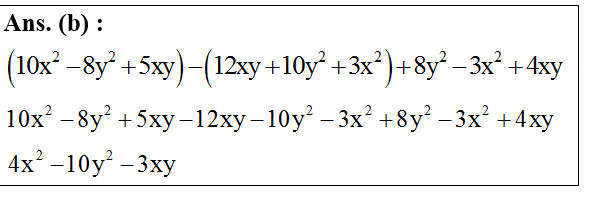
Explanations:
Download our app to know more Lorem ipsum dolor sit amet consectetur adipisicing elit. Excepturi, esse.
Unlocking possibilities: Login required for a world of personalized experiences.