किसे हाल ही में श्रीलंकाई क्रिकेट टीम का मुख्य कोच बनाया गया है?
.
A person travels 5x distance at a speed of 5 km/h, x distance at a speed of 5 km/h, and 4x distance at a speed of 6 km/h, and takes a total of 112 minutes. What is the total distance (in km) travelled by the person?
Special types of glazed tiles or bricks are used as facing material for the rubble or concrete or brick backing in विशेष प्रकार के चमकीले टाइल्स या ईंटों का उपयोग ............ में पेâसिंग मटेरियल के रूप में मलबे या कंक्रीट या ब्रिक बैकिंग के लिए किया जाता है–
आपातकाल के समय किस अनुच्छेद को निलंबित नहीं किया जा सकता है?
If 'DESIGN' is coded as 'OHJTFE' in a code language, then, how will 'STRONG' be coded as in the same code language?
Six friends M, N, O, P, Q and R have their tests on a different day of week starting from Monday and ending on Saturday of the same week. Only two friends are having their tests before M's test. Only four friends are having their tests after Q's test. Only O has the test between the tests of P and N. Who amongst the following has test on Monday?
This sub-skill of reading involves glancing through a text to get a general idea of what it is about. This sub-skill is:
भारत ने किस देश के साथ कृषि सहयोग के लिए समझौता ज्ञापन पर हस्ताक्षर किए हैं?
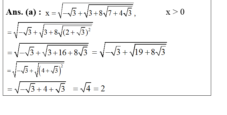
Explanations:
Download our app to know more Lorem ipsum dolor sit amet consectetur adipisicing elit. Excepturi, esse.
Unlocking possibilities: Login required for a world of personalized experiences.