Which of the following is the state tree of Madhya Pradesh ? निम्नलिखित में से मध्य प्रदेश का राजकीय वृक्ष कौन-सा है ?
In the following table, the direction of incident ray of light and the direction of reflected ray of light are given in two different columns : Choose the correct match of column I to column II.
वायु प्रदूषण का प्रभाव प्राय: निम्नलिखित में से किस पर पाया जाता है?
.
The average age of 24 students is 15.5 years. The age of the teacher is 24 years more than the average age of all the students and teacher. What is the age (in years) of the teacher?
When the partnership firm is dissolved, the following account is opened in the books of firm जब साझेदारी फर्म का विघटन किया जाता है, तब फर्म की पुस्तकों में निम्नलिखित खाता खोला जाता है
टैक्सोनोमी (Taxonomy) मूल रूप से ..................... से संबंधित है–
Which of the following parameter is not required for producing dynamically induced EMF? गतिशील रूप से प्रेरित EMF उत्पन्न करने के लिए निम्नलिखित में से कौन-सा प्राचल आवश्यक नहीं है?
राष्ट्रीय कृषि विकास योजना के तहत कौन सा क्षेत्र शामिल नहीं है?
The annual or periodical payment for repayment of the capital amount invested on a property for a specified period is known as : एक निर्दिष्ट अवधि के लिए किसी संपत्ति पर निवेश की गई पूंजीगत राशि के पुर्नभुगतान के लिए वार्षिक या आवधिक भुगतान को क्या कहा जाता है ?
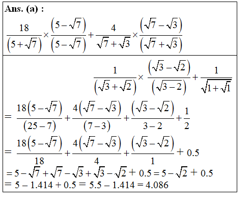
Explanations:
Download our app to know more Lorem ipsum dolor sit amet consectetur adipisicing elit. Excepturi, esse.
Unlocking possibilities: Login required for a world of personalized experiences.