At a given temperature,………has a highest speed of sound.
Identification test for pertein is ______. प्रोटीन की पहचान के लिए _________ परीक्षण किया जाता है।
Select the word segment that substitutes (replaces) the bracketed word segment correctly and completes the sentence meaningfully. Select the option 'no correction required' if the sentence is correct as given. This newly arisen (evidence could have proved) to be the final nail in the coffin for the accused.
Which function is transmission of sound vibrations to the internal ear? आंतरिक कान के लिए ध्वनि कंपन का संचरण किसका कार्य है?
ऑयल डिप–स्टिक पर निशान लगे होते हैं–
Bihar politician Late Raghuvansh Prasad Singh was for the first time elected to which Lok Sabha? बिहार के राजनीतिज्ञ स्वर्गीय रघुवंश प्रसादसिंह पहली बार किस लोक सभा के लिए निर्वाचित हुए थे?
Which of the following is not a feature of good governance ? निम्नलिखित में से कौन सुशासन की विशेषता नहीं है?
The headquarter of Kumaon Commissionary shifted from Almora to Nainital?/कुमाऊँ कमिश्नरी का मुख्यालय अल्मोड़ा से नैनीताल स्थानान्तरित किया गया था :
Which of the following is not a type of load – bearing wall?/निम्नलिखित में से कौन सा भार वहन दीवार का प्रकार नहीं है?
Select odd one of the following with reference to the central processing unit (CPU) of a computer.
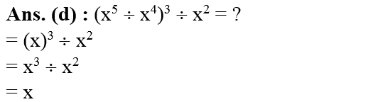
Explanations:
Download our app to know more Lorem ipsum dolor sit amet consectetur adipisicing elit. Excepturi, esse.
Unlocking possibilities: Login required for a world of personalized experiences.