A journal entry, in which two or more accounts are debited/ credited, is known as एक जर्नल प्रविष्टि जिसमें दो या दो से अधिक खाते डेबिट/क्रेडिट किये जाते हों, कहलाते हैं
बृहस्पतिरिव क: अब्रवीत् ?
यदि T का अर्थ घटाना है, K का अर्थ भाग है, J का अर्थ गुणा है और Q का अर्थ जोड़ना है, तो निम्नलिखित का मान ज्ञात कीजिए: 18 K 3 Q 4 J 2 T 5 = ?
वित्तीय घाटा’ शब्द भारत सरकार के किस मंत्रालय से संबंधित है?
किस राज्य की विधानसभा ने 2021 में विधान परिषद बनाने का प्रस्ताव पारित किया?
Directions for question number 69 to 75 : 'Read the passage carefully answer the questions based on it : Many men and women are so money minded that they do not undertake any serious work that does not pay. They believe that it is foolish to exert themselves for study and brain work which cannot be converted into cash. 'Hard work only for money, and then plenty of play and pleasure' : this seems to be their rule in life. they value intellect only as the key to material prosperity and regard personal mental development as a foolish fad. This miserable materialistic psychology is very deep-rooted in all classes of Society. Rich and poor, all suffer from it. An old working woman complained to me of her son's habit of occasionally buying some books and said, "He wastes his money on books." What good are they to him? He is a carpenter, not a schoolmaster." Many men and women are so money minded that they do not undertake any serious work that does not pay. Identify the sentence that correctly coverts/transforms the above sentence using "too" for 'so..... that' without changing the meaning :
From the following in which district of Uttarakhand, Narayan Ashram is situated ? /निम्नलिखित में से उत्तराखण्ड के किस जिले में नारायण आश्रम स्थित है?
In order to account for shear deformation effects in laced columns, the effective slenderness ratio is taken as ________ times the actual maximum slenderness ratio
काली क्रांति, ______ के उत्पादन से संबंधित है।
कौन सिद्धान्त व्यक्त करता है कि मानव मस्तिष्क एक बर्फ की बड़ी चट्टान के समान है जो कि अधिकांशत: छिपी रहती है एवं उसमें चेतन के तीन स्तर है?
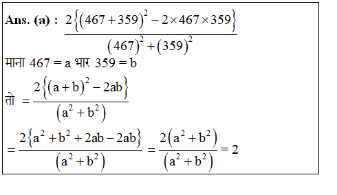
Explanations:
Download our app to know more Lorem ipsum dolor sit amet consectetur adipisicing elit. Excepturi, esse.
Unlocking possibilities: Login required for a world of personalized experiences.