Where was the great "Negro" from against whom Santiago arm-wrestled in his youth?
.
ग्रीष्म अपनांत ---------को होता है
भारतीय सौन्दर्यशास्त्र के प्रथम दार्शनिक थे:
गेंद के लिहाज से T20I में सबसे तेज़ 2,000 रन बनाने वाले बल्लेबाज़ कौन बने है?
National Institute for Research in T Health established by ICMR at आई.सी.एम.आर द्वारा स्थापित राष्ट्रीय जनजाति स्वास्थ्य अनुसंधान संस्थान ________ स्थित है ।
The 'split system' in the Indian administration relates to/भारतीय प्रशासन में ‘विभाजन प्रणाली’ किससे संबंधित है?
In the following question below are given some statements followed by some conclusions based on those statements taking the given statements to be true even if they seem to be at variance form commonly known facts. Read all the conclusions and then decide which of the given conclusions logically follows the given statements. Statement: All leaves are plants. All plants are tree. All trees are tall. Conclusion: I. Some tree are leaves. II. All leaves are tall.
In a code language, if 'CLASSIFY ' is written as ‘XOZHHRUB’, then how will ‘MODIFY’ be written in that language?
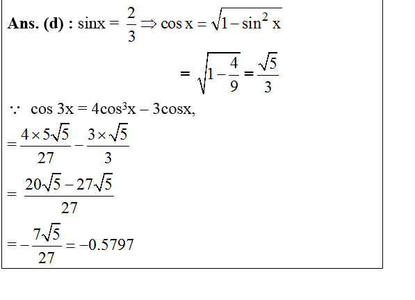
Explanations:
Download our app to know more Lorem ipsum dolor sit amet consectetur adipisicing elit. Excepturi, esse.
Unlocking possibilities: Login required for a world of personalized experiences.