हीट ट्रीटमेंट का उद्देश्य होता है–
Any section of citizens with a distinct language or culture have a right to conserve it. This particular right comes under which fundamental right? ‘विशिष्ट भाषा या संस्कृति वाले नागरिकों के किसी भी वर्ग को इसे संरक्षित करने का अधिकार है।’ यह विशिष्ट अधिकार किस मौलिक अधिकार के अंतर्गत आता है?
फ्यूल पम्प अधिक पेट्रोल सप्लाई करता है। इसका क्या कारण हो सकता है?
निम्नलिखित में से कौन सा एक सही सुमेलित नहीं है?
Select the option that will improve the underlined segment in the given sentence. In case no improvement is needed, select 'No improvement' It is wise to insure one's home on fire.
Calculate the frequency of rotor current if supply frequency is 100 Hz and slip is 5% यदि आपूर्ति आवृत्ति 100 Hz है और विसर्पण 5% है तो रोटर धारा की आवृत्ति का परिकलन कीजिए।
Select the most appropriate synonym of the given word. OCCUR
Seeds that are dispersed by animals often: पशुओं द्वारा फैलाए जाने वाले बीजों में अक्सर ––––––––।
The frequency of a sound wave is 50 Hz and its wavelength is 4 meters. What is the speed of sound wave?
In Ujjain which of the following ceremony is celebrated by government of Madhya Pradesh? मध्य प्रदेश सरकार द्वारा उज्जैन में निम्नलिखित में से कौन सा समारोह मनाया जाता है ?
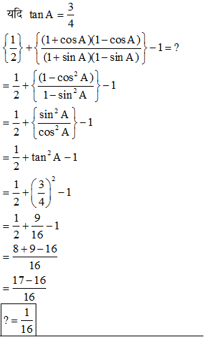
Explanations:
Download our app to know more Lorem ipsum dolor sit amet consectetur adipisicing elit. Excepturi, esse.
Unlocking possibilities: Login required for a world of personalized experiences.