Ball bearings are used to convert static friction into/बॉल बेयरिंग का उपयोग स्थैतिक घर्षण को निम्नलिखित में से किसमें परिवर्तित करने के लिए किया जाता है?
Bhawani Prasad Mishra was a _________ from Madhya Pradesh. भवानी प्रसाद मिश्रा मध्य प्रदेश से एक_________ थे।
प्रधानमंत्री नरेंद्र मोदी ने किस शहर में 72वें राष्ट्रीय वॉलीबॉल टूर्नामेंट का उद्घाटन किया?
Sentences of a paragraph are given below in jumbled order. Select the option that arranges the sentences in the correct logical sequence to form a meaningful and coherent paragraph. A. I once met a gentlemen who told me about a game he plays with his grandchildren. B. He shares a titbit or two and it starts off a conversation. C. He then asks his teenage gradchildren if they know who those people are. D. He picks some names of politicians, rock stars or even criminals from his generation.
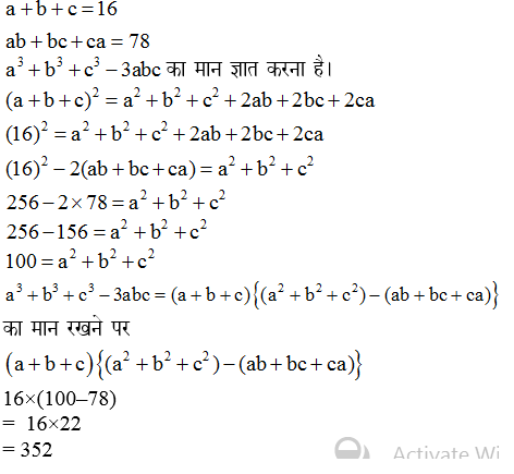
.
अंतर्निहित वंâप्यूटिंग उपकरण जिसे सिस्टम अपनी ई-कॉमर्स कार्यक्षमता प्राप्त करने के लिए उपयोग करता है उसे _________ कहा जाता है।
Raima covered some distance with a speed of 7 km/h on foot and some distance at a speed of 12 km/h on a bicycle. He had covered a distance of 64 km in 7 hours. How many hours did he travel on a bicycle?
The Constitution of India came into force in:
In which year 'All for Love' was published?
Explanations:
Download our app to know more Lorem ipsum dolor sit amet consectetur adipisicing elit. Excepturi, esse.
Unlocking possibilities: Login required for a world of personalized experiences.