निर्देश : नीचे दिए गए गद्यांश को पढ़कर पूछे गए प्रश्नों (प्रश्न सं. 334 से 342) के सही/सबसे उपयुक्त उत्तर वाले विकल्प को चुनिए। लघु उद्योग उन उद्योगों को कहा जाता है जिनके समारम्भ एवं आयोजन के लिए भारी-भरकम साधनों की आवश्यकता नहीं पड़ती। वे थोडे-से स्थान पर, थोड़ी पूँजी और अल्प साधनों से ही आरम्भ किए जा सकते हैं। फिर भी उनसे सुनियोजित ढंग से अधिकाधिक लाभ प्राप्त करके देश की निर्धनता, गरीबी और विषमताओं से एक सीमा तक लड़ा जा सकता है। अपने आकार-प्रकार तथा साधनों की लघुता व अल्पता के कारण ही इस प्रकार के उद्योग-धंधों को कुटीर-उद्योग भी कहा जाता है। इस प्रकार के उद्योग-धंधे अपने घर में भी आरम्भ किए जा सकते हैं और अपने सीमित साधनों का सदुपयोग करके आर्थिक लाभ कमाया जा सकता है और सुखी-समृद्ध बना जा सकता है। भारत जैसे देश के लिए तो इस प्रकार के लघु उद्योगों का महत्व और भी बढ़ जाता है क्योंकि यहाँ युवाओं की एक बहुत बड़ी संख्या बेरोजगार है। इसी कारण महात्मा गांधी ने मशीनीकरण का विरोध किया था। उनकी यह स्पष्ट धारणा थी कि लघु उद्योगों को प्रश्रय देने से लोग स्वावलम्बी बनेंगे, मजदूर-किसान फसलों की बुआई-कुटाई से फुर्सत पाकर अपने खाली समय का सदुपयोग भी करेंगे। इस प्रकार आर्थिक समृद्धि तो बढ़ेगी ही, साथ ही लोगों को अपने घर के पास रोजगार मिल सकेगा। गद्यांश के अनुसार ‘प्रश्रय’ शब्द का भाव है:
निम्न शृंखला में ऐसे कितने 2 हैं जिसके तुरंत पहले 3 नहीं है लेकिन तुरंत बाद 4 हैं? 3 4 2 4 4 2 3 2 4 3 2 4 2 3 4 4 2 3 2 4 2 4 3 2
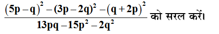
.
According to IS 12269:2013, insoluble residues in OPC 53 grade cement shall not be greater than ____ by mass./ IS 12269 : 2013 के अनुसार, OPC 53 ग्रेड सीमेंन्ट में अविलेय अवशेष द्रव्यमान ---से अधिक नहीं होगा।
Who was responsible for the murdered of the last Mauryan emperor?
The design tension strength of tensile member is
प्रकाश के प्राथमिक रंग हैं:-
Which of the following statements are correct regarding Aronld Gesell's biological vein in adolescence? किशोरावस्था में अर्नोल्ड गेसेल की जैविक शिरा के संबंध में निम्नलिखित में से कौन सा कथन सही है? I. Maturity was considered of primary importance. I. परिपक्वता को प्राथमिक महत्व माना जाता था। II. Children between the ages of 1 and 15 are said to the usually rebellious and have some fights. II. बताया जाता है कि 11 और 15 साल के बच्चे आमतौर पर विद्रोही होते हैं और कुछ झगड़ते हैं।
The square root of 519841 is:
निम्नलिखित में से किस बोली में ‘ने’ का प्रयोग नहीं होता है?
Explanations:
Download our app to know more Lorem ipsum dolor sit amet consectetur adipisicing elit. Excepturi, esse.
Unlocking possibilities: Login required for a world of personalized experiences.