As per IS 46-2003 the width of border in drawing sheets of size A3, A4, A5 should be- IS 46–2003 के अनुसार A3, A4, A5 साइज की ड्राइंग शीट में बार्डर की चौड़ाई होनी चाहिए–
Which of the following was the precursor of Indian National Congress?/निम्नलिखित में कौन भारतीय राष्ट्रीय कांग्रेस की अग्रगामी संस्था थी?
जिस वाक्य में एक सरल वाक्य के अलावा अन्य उपवाक्य आश्रित होकर आयें कहते हैं:
भारत और बहरीन के बीच सीमा पार धन प्रेषण को सक्षम करने के लिए (NPCI) इंटरनेशनल पेमेंट्स लिमिटेड ने बहरीन की किस कंपनी के साथ साझेदारी की है?
_____involves filling up hole with stiff sandy clay, so that the blast hole itself not the line of least resistance. छिद्र को ठोस रेतीली मृदा से भरना शामिल है, ताकि विस्फोटक छिद्र स्वयं को कम प्रतिरोधित रेखा पर ना रखे।
संयुक्त राष्ट्र (UN) ने वर्ष 2025 को किस अंतरराष्ट्रीय वर्ष के रूप में घोषित किया है?
Consider the following statements regarding Kalkidham Temple- 1. This Temple is related to Lord Vishnu. 2. On 19th February, 2024 Uttar Pradesh CM, Yogi Adityanath laid the foundation stone of it in Sambhal District. Select the correct option based on the above. कल्कि धाम मन्दिर के सन्दर्भ में निम्नलिखित कथनों पर विचार करें- 1. इस मन्दिर का संबंध भगवान विष्णु से है। 2. 19 फरवरी, 2024 को उत्तर प्रदेश के संभल जिले में इसका शिलान्यास मुख्यमंत्री योगी आदित्यनाथ ने किया। उपर्युक्त के आधार पर सही उत्तर का चयन करें-
Who was the painter of 'Sunrise Impressions'? ‘सनराइज इम्प्रेशन्स’ का चित्रकार कौन है?
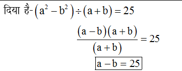
.
Six phones P1, P2, P3, P4, P5 and P6 are placed in a row facing towards north (Not necessarily in the same order). P1 is placed to the immediate left of P6. P5 is placed second to the left of P2. P4 is placed second to the right of P6. P4 is to the immediate right of P5. P3 is towards the left of P1. How many phones are placed between P3 and P6?
Explanations:
Download our app to know more Lorem ipsum dolor sit amet consectetur adipisicing elit. Excepturi, esse.
Unlocking possibilities: Login required for a world of personalized experiences.