एक वृत्त में, दो जीवाएं AB और CD एक-दूसरे को आंतरिक रूप से बिन्दु P पर प्रतिच्छेद करती हैं। यदि AB = 16 cm, PB = 6 cm और PD = 12 cm है, तो PC का मान (cm में ) ___________ के बराबर है।
निम्नलिखित में से कौन-सी विधि कक्षा में काफी बार उपयोग की जा सकती है?
निम्नलिखित प्रश्न में दिए गए विकल्पों में से विषम शब्द को चुनिए।
The total load to be applied for determining aggregate crushing value of aggregates passing through 12.5 mm and retained on 10 mm is_______. 12.5 mm से गुजरने वाले और 10mm पर रुकने वाले मिलावे का मिलावा संदलन मान ज्ञात करने के लिए लगाया जाने वाला कुल भार _____ है।
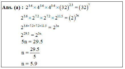
.
शंघाई सहयोग संगठन शिखर सम्मेलन 2024 का आयोजन कहां किया जा रहा है?
If the probability for A to fail in an examination is 0.20 and that of B to fail is 0.30, then the probability that either A or B fails is यदि एक परीक्षा में A के अनुत्तीर्ण होने की प्रायिकता 0.20 है तथा B के अनुत्तीर्ण होने की प्रायिकता 0.30 है, तो A अथवा B के अनुत्तीर्ण होेने की प्रायिकता है
In rate analysis, which type of cost includes expenses like labor wages, equipment rental, and construction materials? दर विश्लेषण में, किस प्रकार की लागत में श्रम मजदूरी, उपकरण किराये और निर्माण सामग्री जैसे खर्च शामिल है?
How much work is done in moving the charge of 5C across two points with a potential difference of 13V ?
Identify the segment in the sentence which contains a grammatical error. I knew that Aparna was speaking the truth and decided to stand besides her during the trial.
Explanations:
Download our app to know more Lorem ipsum dolor sit amet consectetur adipisicing elit. Excepturi, esse.
Unlocking possibilities: Login required for a world of personalized experiences.