5 mm से कम मोटाई की प्लेटो के वेल्डन के लिए इसके किनारों की–
The value of ultimate creep coefficient for concrete:
The Triveni Canal has been constructed on which of the following rivers?/त्रिवेणी नहर पर निर्माण निम्नलिखित में से किस नदी पर किया गया है?
Which freedom fighter is remembered for his efforts in achieving the official language of India as Hindi?
एक दुकानदार के पास दूध की 3 अलग-अलग किस्में हैं। पहली किस्म के 493 लीटर, दूसरी किस्म के 551 लीटर और तीसरी किस्म के 609 लीटर हैं। समान आमाप की बोतलों की न्यूनतम संभावित संख्या ज्ञात कीजिए जिसमें विभिन्न किस्मों के विभिन्न दूध बिना मिश्रित किए भरे जा सकते हैं।
What is the total number of 𝜋 -electrons in phenanthrene. फिनान्थ्रीन में 𝜋 -इलेक्ट्रॉन्स की संख्या होती है–
Select the most appropriate synonym of the given word. FATIGUE
Which of the following was the first Indian station on the Antarctica ? निम्नलिखित में से अंटार्कटिका पर प्रथम भारतीय स्टेशन कौन सा था?
Directions (Q. Nos. 108 and 109) : Find one-word substitutes for thefollowing expressions. A list of books or articles
उत्तराखण्ड में निम्न में कौन सी जनजाति नहीं पायी जाती है-
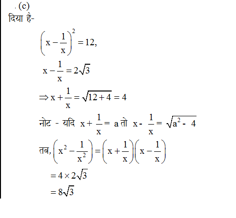
Explanations:
Download our app to know more Lorem ipsum dolor sit amet consectetur adipisicing elit. Excepturi, esse.
Unlocking possibilities: Login required for a world of personalized experiences.