Which box of chrome, functions as both address box as well as search box? क्रोम का कौन-सा बॉक्स, एड्रेस बॉक्स के साथ-साथ सर्च बॉक्स, दोनों के रूप में कार्य करता है?
एंटी आर्ट-शब्दावली के निर्माता कौन थे?
राहुल को जब भी कक्षा में उत्तर देने के लिए कहा जाता है वह हकलाने लगता है। इसका क्या कारण हो सकता है?
The mean of the marks obtained by 40 students in an examination is 72.5. Since a mistake of 48 instead of 84 was written. Find the right mean?
To obtain a virtual and erect image by reflection from a concave mirror of focal length 20 cm, the object should be placed :
The position of how many letters will remain unchanged if each of the letters in the word ‘VIRTUAL’ is arranged in English alphabetical order?
Which of the following books was written Olympe de Gouges to protest exclusion of women from basic rights in the constitution after the French Revolution? फ्रांसीसी क्रांति के बाद संविधान में महिलाओं को बुनियादी अधिकार से बाहर करने के विरोध में ओलंपी डे गोउजेस ने निम्नलिखित में से कौन सी पुस्तक लिखी?
The bulking of sand is depend upon– बालू का फूलना किस पर निर्भर है?
........ is never alone in nature -
In which of the following colleges, Gandhiji had studied? निम्न में से किस कॉलेज में गाँधीजी ने पढ़ाई की थी?
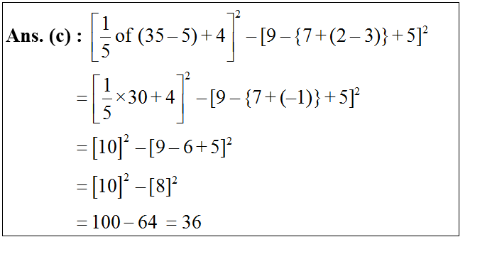
Explanations:
Download our app to know more Lorem ipsum dolor sit amet consectetur adipisicing elit. Excepturi, esse.
Unlocking possibilities: Login required for a world of personalized experiences.