Mangubhai Chhaganbhai Patel taken over the charge of _____ governor of Madhya Pradesh. मंगूभाई छगनभाई पटेल ने मध्य प्रदेश के .......... राज्यपाल का पदभार ग्रहण किया।
In an equilateral triangle, the ratio of the radius of circumcircle to that of incircle is एक समबाहु त्रिभुज में परिवृत्त की त्रिज्या का अंत:वृत्त की त्रिज्या से अनुपात है
Which of the following type of concrete has better flowability?
How can solar energy be directly converted into electrical energy? सौर ऊर्जा को सीधे विद्युत ऊर्जा में कैसे परिवर्तित किया जा सकता है?
As a police officer, certain groups demand amendments in laws upholding LGBTQ rights, against traditional religious sentiments. You should/एक पुलिस अधिकारी के रूप में, कुछ समूह पारंपरिक धार्मिक भावनाओं के विपरीत, एलजीबीटीक्यू अधिकारों को कायम रखने वाले कानूनों में संशोधन की माँग करते हैं। आपको :
Which of the following provides option to change date and time in Windows OS? निम्न में से कौन-सा, विंडोज ओएस (Windows OS) में दिनांक और समय बदलने का विकल्प प्रदान करता है?
.
तीन और दो-तिहाई समकोणों में डिग्रियों की संख्या है:
.................कमांड होती हैं जिन्हें सिलेक्ट किया जा सकता है।
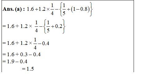
Explanations:
Download our app to know more Lorem ipsum dolor sit amet consectetur adipisicing elit. Excepturi, esse.
Unlocking possibilities: Login required for a world of personalized experiences.