Who was the first Finance Minister of India after independence?
................रंग का नाम दर्शाता है।
.
Which part of Indian Constitution deals with The union and its territories ?
वोल्टमीटर का प्रयोग मापने के लिए किया जाता है :
अविक 8 मीटर प्रति सेकेंड की चाल से दौड़ता है। यदि वह उसी चाल से दौड़ना जारी रखता है, तो अविक 24 मिनट में कितने किलोमीटर की दूरी तय करेगा?
The Malwa plateau pertain to: मालवा का पठार का सम्बन्ध किससे है?
पहली वैश्विक प्रवासी महिला कबड्डी लीग का आयोजन किस राज्य में किया जायेगा?
मौलिक कर्तव्य .............. हैं और कानून द्वारा प्रवर्तनीय नहीं हैं लेकिन किसी भी मामले का निर्णय करते समय न्यायालयों द्वारा दृष्टिगत रखे जाते हैं।
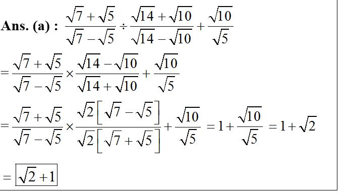
Explanations:
Download our app to know more Lorem ipsum dolor sit amet consectetur adipisicing elit. Excepturi, esse.
Unlocking possibilities: Login required for a world of personalized experiences.