Which of the following metals is not ductile?
Out of the given alternatives, which of the words best expresses the meaning of LETHAL
The effective slenderness ratio of laced columns, compared to actual maximum slenderness ratio shall be considered as
The vernier that is calibrated in the direction opposite to the main scale is called ........ SSC JE 25.01.2018, Evening Shift Or If the smallest division of a Vernier is longer than the smallest division of its primary scale, the Verneir is known as :
Select the most appropriate ANTONYM of the given word. DEPREDATION
For mild and moderate exposure, if 20 mm down coarse aggregate are used, minimum cement content per cubic meter of concrete must not be less than:
.
Which of the following was declared a Fundamental Right in 2017 by the Supreme Court of India?
Which is the incorrect statement with regard to ultrasound waves?
_____ Network can connect devices across a larger geographical area but is typically maintained by multiple administrators rather than a single entity. ______ नेटवर्क में एक बड़े भौगोलिक क्षेत्र में डिवाइसेज का जोड़ा जा सकता है लेकिन सामान्यत: इसे सिंगल यूनिट के बजाय कई प्रशासकों द्वारा मेन्टेन किया जाता है।
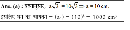
Explanations:
Download our app to know more Lorem ipsum dolor sit amet consectetur adipisicing elit. Excepturi, esse.
Unlocking possibilities: Login required for a world of personalized experiences.