The amount (in Rs.) received at 10% per annum compound interest after 3 years is Rs. 1,19,790. What was the principal?
Where do the Bennets live?
‘भवती’ त्यर्थे ‘यत्’ प्रत्ययान्त: क: प्रयोग: ?
निम्न में से कौन-सी ऑप्टिकल डिस्क है?
एन सी एफ, 2005 (NCF, 2005) की संस्तुतियों के अनुसार, कक्षा एक एवं कक्षा दो के विद्यार्थियों के लिए मूल्यांकन का तरीका होना चाहिए
The Digambara sect belongs to which of the following religions?
तृतीय आम चुनाव के बाद प्रदेश में पंचायतों की संख्या कितनी थी?
Select the most appropriate word which means the same as the group of words given. Extreme mental or physical suffering
हॉकी एशिया कप 2025 में भारत ने सुपर-4 के मुकाबले में मलेशिया को कितने गोल से हराया है?
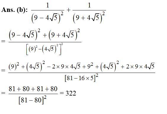
.
Explanations:
Download our app to know more Lorem ipsum dolor sit amet consectetur adipisicing elit. Excepturi, esse.
Unlocking possibilities: Login required for a world of personalized experiences.