Select the option that is related to the third term in the same way as the second term is related to the first term. उस विकल्प का चयन करें जो तीसरे पद से उसी प्रकार संबंधित है जैसे दूसरा पद पहले पद से संबंधित है। ACEG: BEHK :: MOQS : ?
प्राथमिक स्तर पर बच्चों की भाषायी क्षमताओं का विकास करने का अर्थ है–
From the given options identify the segment in the sentence which contains the grammatical error. With the help of skill-based education offer in colleges, many students will become eligible for various jobs.
The relationship between dyamic viscosity and the kinematic viscosity is गतिक श्यानता और शुद्ध गतिकी श्यानता के बीच संबंध है–
2011 की जनगणना के अनुसार बिहार के किस जिले में सर्वोच्च घनी आबादी (प्रतिवर्ग किमी.) दर्ज की गई
‘‘मेघोलोके भवति सुखिनोऽप्यन्यथा वृत्तिचेत:’’ यह सूक्ति किस ग्रन्थ से सम्बन्धित है।
उस सहकारी समिति का नाम बताइए, जो सरकार द्वारा निर्धारित नियंत्रित दर पर दूध और सब्जियाँ उपलब्ध कराती है।
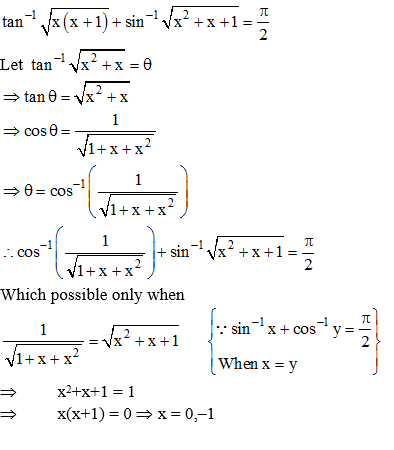
.
केंद्रीय नागरिक उड्डयन मंत्री ने किस एयरपोर्ट पर उड़ान यात्री कैफे का उद्घाटन किया?
Find the unit digit in the product गुणनफल 6812 × 3528 × 3179 × 4324 में इकाई अंक ज्ञात कीजिए।
Explanations:
Download our app to know more Lorem ipsum dolor sit amet consectetur adipisicing elit. Excepturi, esse.
Unlocking possibilities: Login required for a world of personalized experiences.