Fatima and Abdul are siblings. Fatima's father Aziz is the only son of his parents. Ansari is the paternal grandfather of Abdul. Sarah is the daughter-in-law of Ansari. How is Sarah related to Aziz?
Directions (Q. Nos. 125 to 127) : Choose the correct verbs to fill in the blanks. Much of your labour _____ wide of the mark.
निम्नलिखित युग्मों में से कौन सुमेलित नहींं है?
From the window of a house, the angle of elevation of the top of a flag is 60° and the angle of depression of its base is 30°. If the horizontal distance of the flag from the house is 6 m, then find the height of the flag. एक मकान की खिड़की से एक झण्डे के शिखर का उन्नयन कोण 60° तथा उसके आधार का अवनमन कोण 30° है। यदि मकान से झण्डे की क्षैतिज देरी 6 मी. हो, तो झण्डे की ऊँचाई ज्ञात कीजिए।
माँ के दूध में प्रोटीन का कौन-सा रूप पाया जाता है?
राष्ट्रीय ग्रामीण आजीविका मिशन (NRLM) का नाम बदलकर दीनदयाल अंत्योदय योजना-राष्ट्रीय ग्रामीण आजीविका मिशन (DAY-NRLM) किस वर्ष किया गया था?
बलबीर सिंह कट्ट का नादेश्वर मूर्तिशिल्प किस संग्रहालय या गैलरी में है?
A truck driver drives at a speed of 60 km/h for three hours. Then he stopped for an hour and did not go and where After that, he drives at a speed of 60 km/h for four hours what was the average speed of that driver (in km/h)?
The water kept in an earthen pot remains cool even in summer-
In which form of dance, the sword is used in the state of Uttarakhand ? उत्तराखण्ड राज्य में नृत्य की किस कला शैली में तलवार का प्रयोग किया जाता है ?
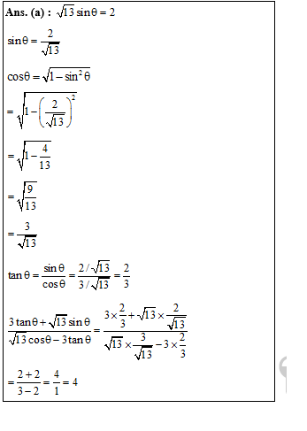
Explanations:
Download our app to know more Lorem ipsum dolor sit amet consectetur adipisicing elit. Excepturi, esse.
Unlocking possibilities: Login required for a world of personalized experiences.